khan academy green's theorem
Green S Stokes And The Divergence Theorems Khan Academy
Flux Form Of Green S Theorem Youtube
Green S Stokes And The Divergence Theorems Khan Academy
Green S Theorem Article Khan Academy
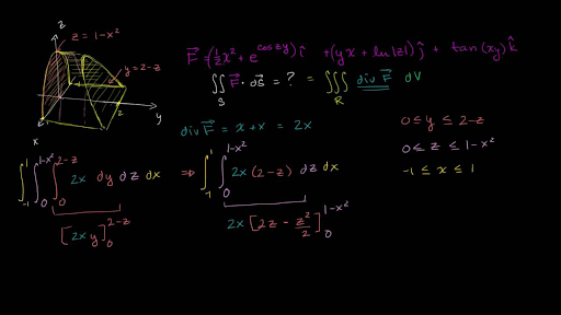
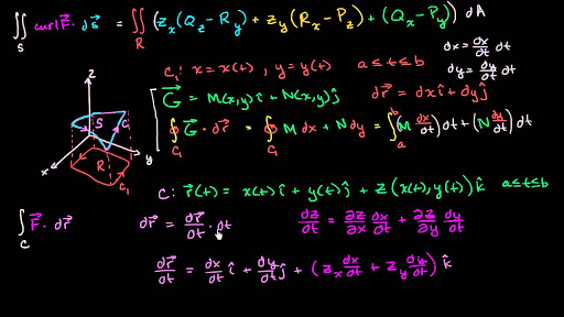
Green S Stokes And The Divergence Theorems Khan Academy
Green S Stokes And The Divergence Theorems Khan Academy
Calculus 3 Green S Theorem 15 Of 21 More Examples 1 Youtube
3d Divergence Theorem Intuition Video Khan Academy
How To Use Green S Theorem Example With Integral Y X Dx 2x Y Dy Y X Y X 2 2x Youtube
Green S Stokes And The Divergence Theorems Khan Academy
2d Divergence Theorem Article Khan Academy
Green S Stokes And The Divergence Theorems Khan Academy
Multivariable Calculus Two More Green S Theorem Examples Youtube
Are There Better Free Alternatives To Ixl And Khan Academy Quora
Green S Theorem Article Khan Academy
Green S Theorem And Work Integrals Youtube
Green S Stokes And The Divergence Theorems Khan Academy
